Discussions
PURAN MAL SAINI

· started a discussion

· 1 Months ago

Ans Will be 1/16

Question:
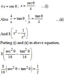
If 4x = sec \(\theta\) and \(\cfrac{4}{x}\)=  tan \(\theta\) then \(\left (x^2 -\cfrac {1}{x^2} \right )\) is?
Options:
A) \(\cfrac{1}{16}\)
B) \(\cfrac{1}{8}\)
C) \(\cfrac{1}{2}\)
D) \(\cfrac{1}{4}\)
Solution:

Knowledge Expert

· commented

· 1 Months ago

Dear student,
Given answer is correct.
Keep learning,
Team TR

All Rights Reserved Top Rankers