Discussions
shubham pathak

· started a discussion

· 1 Months ago

solved

Question:
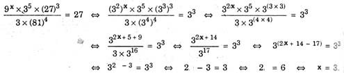
If  \(\cfrac{9^x\times 3^5 \times (27)^3}{3\times (81)^4}\) = 27, then the value of x is?
Options:
A) 0
B) 1
C) 3
D) 4
Solution:
Ans: (c)


All Rights Reserved Top Rankers