Discussions
Raj Kumar Raj

· started a discussion

· 1 Months ago

SIR Question to SI ka to CI ka formula kyon ????

Question:
An amount becomes \(\unicode{x20B9} \)3795 in 3 years and \(\unicode{x20B9} \)4537.50 in 7 \(\cfrac{1}{2}\) years on simple interest. Find the rate of interest.
Options:
A) 6% per year
B) 4% per year
C) 4.5% per year
D) 5% per year
Solution:
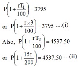
Ans: (d) Let the principal be P and rate be r%.

From question,


Dividing equ. (ii) by equ. (i), 


Knowledge Expert

· commented

· 1 Months ago

Dear Student, Its SI... Amount = Simple Interest + Principal ______________(1) Means A=SI+P We know, Simple Interest, SI = (P*R*T)/100 Put SI the value of SI in equation(1): A=(P*R*T)/100 + P A = P(1+ RT/100) An amount becomes ₹3795 in 3 years So, it can be represented as: 3795 = P(1+ 3R/100) P=379500 / 3R+100 _____________(2) Same amount becomes ₹4537.50 in 7.5 years So, it can be represented as: 4537.50 = P(1+ 7.5R/100) P=453750 / 7.5R+100 _____________(3) From (2) and (3), 379500 / 3R+100 = 453750 / 7.5R+100 Now, you must know how to calculate the value of R from the above equation. R = 5% Keep Learning with Us Best Wishes Team Toprankers

All Rights Reserved Top Rankers