Online courses
Explore
Offline Courses
Explore
Test Series
Explore
Resources
Explore
Community
Explore
Join Us









Arthur Yardley
· commented
· 1 Months ago
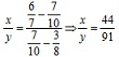
Other method is.
ratio of 1st liquid to the total mixture : 3/8 in first mix 6/7 in second mix.
Consider m litres of 1st mix and 1 litre of 2nd mix is mixed.
( 3/8*m + 6/7*1 ) divided by ( m + 1 ) = 7/10.
Solve and you'll get.