Online courses
Explore
Offline Courses
Explore
Test Series
Explore
Resources
Explore
Community
Explore
Join Us









Sohil Rajput
· commented
· 1 Months ago
shivam vishwakarma
· commented
· 1 Months ago
Knowledge Expert
· commented
· 1 Months ago
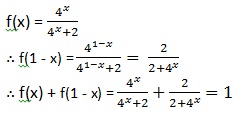
f(x) = (4^x)/(4^x + 2)
to get f(1-x), just put (1-x) in place of x,
f(1-x) = (4^(1-x))/(4^(1-x) + 2) = 2/(2 + 4^x)
f(x) + f(1 — x) = (4^x)/(4^x + 2) + 2/(2 + 4^x)
= 1