Online courses
Explore
Offline Courses
Explore
Test Series
Explore
Resources
Explore
Community
Explore
Join Us









Knowledge Expert
· commented
· 1 Months ago
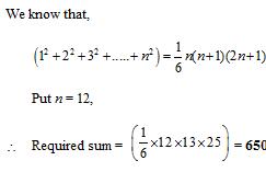
Given options are correct.
Keep learning,
Team TR